1. 로지스틱 회귀분석(Logostic regression)이란
2. 로지스틱 회귀계수 해석
1. 로지스틱 회귀분석(Logostic regression)이란
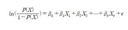
-2개의 카테고리를 가지는 이항(binary) 형태(ex. yes/no)의 출력변수(Y)를 예측할 때 사용하는 회귀분석 방법
-k개의 입력변수(X)를 사용, 성공/실패를 예측하기 위해 성공확률 P(X)로 모델링하면 확률 P(X)의 범위는 [0,1]이지만 식의 오른쪽은 실수범위 [-inf, inf]라 범위가 맞지 않음

-식의 왼쪽도 실수범위로 맞추기 위해 로지스틱 함수(Logostic function) 사용

-위의 식을 확률 P(X)에 대해 정리하면 아래 식과 같음, 모형을 적합한 후 추정 회귀계수를 아래 식에 대입하면 추정 확률(예측 확률)을 계산

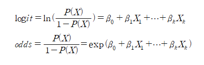
2. 로지스틱 회귀계수 해석
-추정된 회귀계수 beta는 로짓(logit)에 대한 계수이므로 'X가 한 단위 증가할 때 logit이 beta만큼 증가/감소한다'라고 해석
-logit 식의 양변에 지수(exponential)을 취하면 좌변이 오즈(odds: 성공확률/실패확률)가 되므로 'X가 한 단위 증가할 때 odds가 exp(beta)배로 증가/감소한다'고 해석

'데이터분석 > 이론' 카테고리의 다른 글
| [머신러닝]나이브 베이즈(Naïve bayes classifier) 이론 (0) | 2022.03.10 |
|---|---|
| [머신러닝]회귀계수 축소법 (0) | 2022.03.08 |
| [머신러닝]회귀분석 진단, 다항회귀분석 (0) | 2022.03.06 |
| [머신러닝]변수선택법, 교호작용 (0) | 2022.03.03 |
| [회귀분석, 머신러닝]회귀모델의 성능지표, 머신러닝 모델의 성능 지표 (0) | 2022.03.01 |